Publications
Published articles
Microclimate drives demographic compensation in a narrow endemic tropical species
New Phytologist, 250, 166–180.
Tropical forests in the Americas are changing too slowly to track climate change
Science, 387, 1–11.
Trees, Forests and People, 1, 100894.
Journal of Vegetation Science, 1, 1.
Oryx, 59, 1–5.
Plant Diversity, 48, 1–31.
When natives become villains: plant super-dominance and its implications on island ecosystems
Cell Reports Sustainability, 2, 100434.
The pace of life for forest trees
Science, 386, 92–98.
Biological Conservation, 277, 109841.
Biological Conservation, 282, 110053.
Journal of Mountain Science, 20, 1842–1853.
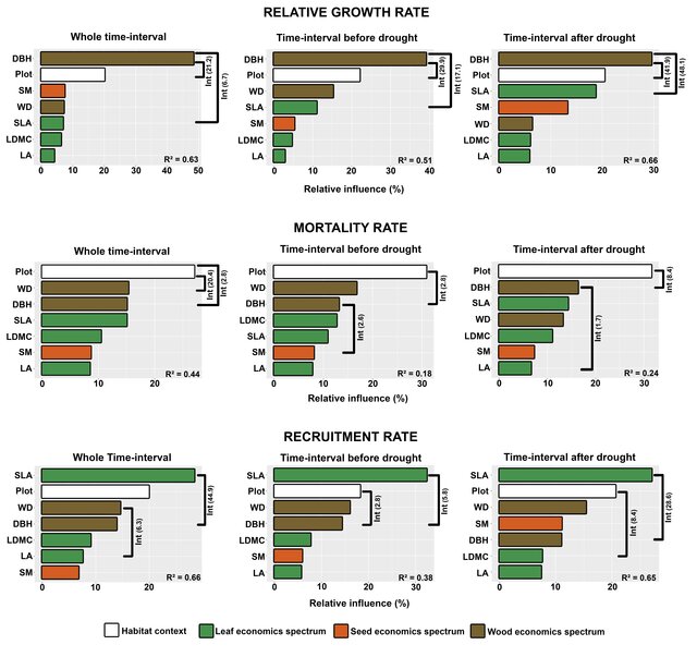
Trait interactions effects on tropical tree demography depend on the environmental context
Perspectives in Plant Ecology, Evolution and Systematics, 59, 125732.
Phytogeographic meta-analysis of the vascular epiphytes in the Neotropical region
Botanical Review, 1, 1–25.
Plant Ecology, 223, 1–17.
Taking the pulse of Earth’s tropical forests using networks of highly distributed plots
Biological Conservation, 260, 108849.
Biota Neotropica, 21, 1–29.
Nativa, 9, 471–480.
Hoehnea, 46, 1–12.
Climbing plants of Porto Ferreira State Park, southeastern Brazil
Biota Neotropica, 2, 1–9.
Nativa, 6, 706.
Communications in Plant Sciences, 2, 183–183.






















